Zum Inhalt springen

Red Box

Empfohlene Antworten

Die 170PS-Version war quasi ein Facelift des 16S in den letzten Modelljahren, so ab 91/92. Die normalen turbo 16V`s, die ja auch parallel zum 16S lieferbar waren, blieben bei den 160PS.
Zumindest beim MY '91 stehen die 16S auch noch mit 160 in der Preisliste.
Zumindest beim MY '91 stehen die 16S auch noch mit 160 in der Preisliste.

 

Ab 9/92 dann 170 PS im TU16 CC und CV

Ein gut eingstellter 160 PS Motor kann mir Sicherheit genauso gut laufen wie ein 900er an den grade mal ne rote Box angeklemmt wird!

137007001 -> rot 175bosch-ps / 170lucas-ps

(serienausstattung MY92, 9116/331)

 

4393971 -> rot 185bosch-ps / 180lucas-ps

 

alles mit kat!

 

bosch und lucas unterschiedlich wegen unterschiedlichem benzindruck

@TobiasM: ja, immer wenn Tageskilometerstand und getankte Menge nicht in Übereinstimmung zu bringen sind wirft die Fahrersteuerung eine Fehlermeldung aus.
137007001 -> rot 175bosch-ps / 170lucas-ps

(serienausstattung MY92, 9116/331)

 

4393971 -> rot 185bosch-ps / 180lucas-ps

 

alles mit kat!

 

bosch und lucas unterschiedlich wegen unterschiedlichem benzindruck

 

Was bringt dich auf diese sonderbare Theorie ?

naja, zum einen gibt es nur zwei boxen (laut liste) eine für 175/170 und eine für 180/185

 

zum anderen hat lukas 3bar und bosch upgegraded 3.3(?)

 

mal ehrlich, wer merkt 5ps?

Ausländische Märkte hab ich nicht im Kopf,aber für Deutschland:

Bosch bis `89 :160Ps Serie,Tuningkit 175Ps Kraftstoffdruckanhebung von 2,5 auf 3,0 bar

Lucas ab ´90 : 160ps Serie (3,0 bar)

93: 170Ps (3,0 bar)

Last Edition93 180PS (3,3 bar)

Tuning-Kit 90-93 185Ps (3,3 bar)

170-185 PS-Steuergeräte sind rot und haben 4 verschiedene Nummern

A

170-185 PS-Steuergeräte sind rot und haben 4 verschiedene Nummern

 

genau das finde ich interessant!

 

die 137007001 z.B. wird in USA als 175PS box geführt und ist in meinem 170PS verbaut gewesen ... deshalb nahm ich an, das läge am benzindruck, da USA = Bosch = 3.3

 

aber wenn wir in D vier verschiedene teilenummern haben :rolleyes: ich kannte, was nichts zu heißen vermag, bisher nur zwei ...

  • 1 Monat später...

Saab 9000 Redbox mit DI in Saab 900 TU 16V-.``?

 

ISt dies möglich oder auch nur in einen Saab 900 mit DI Zuend.:confused::cool:

DI-Boxen nur für DI-Zündung.

Es gab jedoch für die frühen 9000 eine rote Box mit 190PS (im 9000). Nummer ist 137007100. Diese ist baugleich zur 900er APC-Box. Wieviel Leistung diese im 900er bringt weiss ich leider nicht.

Aber ich habe eine solche und werde es beizeiten testen.

DI-Boxen nur für DI-Zündung.

Es gab jedoch für die frühen 9000 eine rote Box mit 190PS (im 9000). Nummer ist 137007100. Diese ist baugleich zur 900er APC-Box. Wieviel Leistung diese im 900er bringt weiss ich leider nicht.

Aber ich habe eine solche und werde es beizeiten testen.

 

 

 

137007407 wäre die Nr.::cool: also nur DI wie es aussieht...

  • 17 Jahre später...

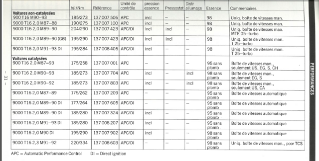
Ich packe es mal hier hin:
eine Übersicht der Leistungssteigerungs-Kits für 900 (16V) + 9000 aus einer französischen Broschüre (1994):
grafik.png

An der Unterhaltung teilnehmen

Du kannst jetzt posten und dich später registrieren. Wenn du ein Konto hast, melde dich jetzt an, um mit deinem Konto zu posten.

Gast
Auf dieses Thema antworten...

Wichtige Informationen

Wir haben Cookies auf deinem Gerät gespeichert, um diese Website zu verbessern. Du kannst deine Cookie-Einstellungen anpassen, andernfalls gehen wir davon aus, dass du mit der Verwendung von Cookies einverstanden bist.

Konto

Navigation

Suchen

Suchen

Configure browser push notifications

Chrome (Android)
  1. Tippen Sie auf das Schlosssymbol neben der Adressleiste.
  2. Tippen Sie auf Berechtigungen → Benachrichtigungen.
  3. Passen Sie Ihre Einstellungen an.
Chrome (Desktop)
  1. Click the padlock icon in the address bar.
  2. Select Site settings.
  3. Find Notifications and adjust your preference.